显示1个结果中的第 1- 8 个
| 目录号 | 产品名称/详细介绍 | 结构 | 分子量 | CAS | 价格 |
|---|---|---|---|---|---|
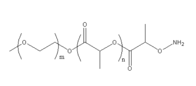
| 130024 | 甲氧基聚乙二醇聚乳酸氨基,mPEG-PLA-NH2 |
|
根据客户要求定制PEG,PLA分子量 | N/A |
¥1200
/ 100mg
|